高尿酸血症的现代认识

2017-02-18 1048人读
已通过实名认证
执业资质已审核通过
张文武 内科 主治医师
合肥市第三人民医院
好评 4.8
接诊量 2.7万
同行认可 99
可开处方
从业21年
高性价比
专业有效
耐心细致
合肥市

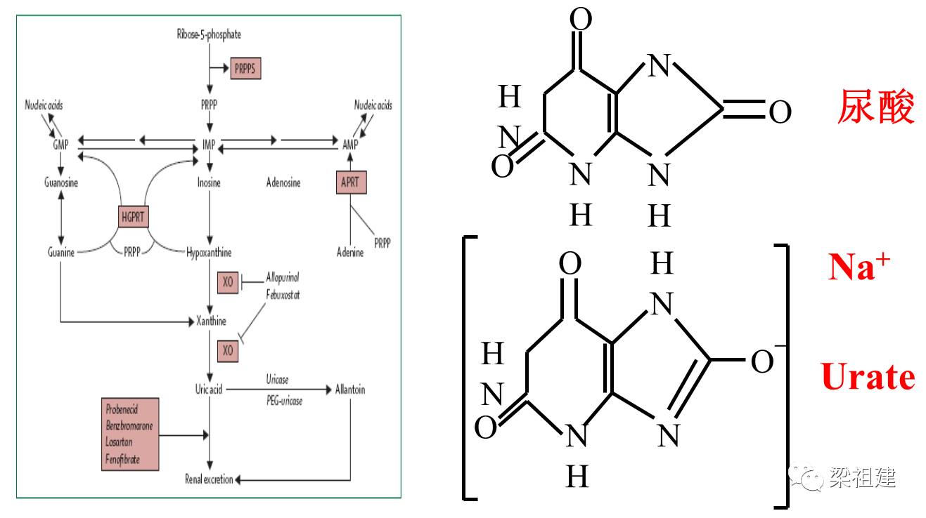
尿酸是嘌呤代谢的终末产物


 

尿酸的来源及排泄



哺乳动物尿酸代谢的进化

(1)动物越高级,血尿酸水平越高

(2)高级灵长类动物尿酸氧化酶基因失活

(3)高级动物进化出肾脏尿酸重吸收功能


人类尿酸代谢的进化

(1)尿酸氧化酶基因的失活及生活方式和饮食结构的变化是人类尿酸升高的重要原因。

(2)为适应环境的需要,高级灵长类动物在进化过程中尿酸逐渐升高。

尿酸的生理功能

(1)尿酸是人体内最强大的还原性物质,其还原作用强于维生素C,是灵长类动物寿命长于其他脊椎动物的重要原因。

(2)尿酸在免疫调节和抑制肿瘤发生方面发挥重要作用。血尿酸水平低于120umol/L时,机体易衰老,易发生自身免疫性疾病及肿瘤。

(3)在低盐状态下,尿酸是维持血压正常的重要物质。

(4)尿酸通过清除体内许多有害的化合物,阻断动脉粥样硬化的发生和发展。

(5)尿酸提高智力。

高尿酸血症的病因

HUA分型

根据Cua/Ccr比值, HUA分型如下:

(1)生成过多型:Cua/Ccr >10%

(2)排泄不良型: Cua/Ccr <5%

(3)混合型:  Cua/Ccr :5%~10%


Cua=尿尿酸*每分钟尿量/SUA



高尿酸血症患者中,尿酸排泄减少占90%,生成过多占10%。

高嘌呤饮食、肥胖及胰岛素抵抗是尿酸生成过多的主要原因。


内源性尿酸生成增加相关基因





肾脏尿酸排泄相关基因模式图


原发性肾脏尿酸排泄减少相关基因



我国HUA患病率逐年上升


HUA与多个重要靶器官损害密切相关


高尿酸血症的诊断标准




高尿酸血症的治疗目标及意义

关于尿酸我们必须知道的知识点:

1、随尿酸水平增加,痛风发病率明显增加。

2、血尿酸是决定痛风发病的主要因素。

    当血尿酸≥6mg/dl,发生痛风的危险明显升高,血尿酸≥8mg/dL时,痛风累计发病率迅速上升。

    血尿酸<420umol7mg/dL)时痛风发作的平均年龄为55岁。

    血尿酸≥540umol9mg/dL)时发作的平均年龄为39岁。

3、随血尿酸水平降低,痛风复发率明显降低。

    研究血尿酸水平和痛风复发率的关系发现,血尿酸<300μmol/L患者痛风复发率不到10%,而血尿酸540μmol/L的患者复发率将近80%,是<300μmol/L患者的8倍。

4、尿酸持续达标促进痛风石溶解。

    将血尿酸长期控制在< 6mg/dL 的目标下,痛风石可以溶解。

5、"尿酸持续达标"是痛风防治的关键。

6、高尿酸血症是 慢性肾脏病( Chronic Kidney Disease,CKD) 的重要危险因素。

7、高尿酸血症显著增加慢性肾病的发病率。

降尿酸治疗原则 

    不应在急性发作期开始(但如果以前已经用药,应该继续)。

 应于急性痛风发作消退大约24周后开始。

 在有效抗炎药物"保护"下,在急性发作期也可采取降尿酸治疗。

降尿酸治疗(ULT)目标

1、终止急性发作不等于痛风治愈。

2、降低升高的总尿酸池才是目标  "目标治疗( treat-to-targetstrategy )" 

    长期目标: 血尿酸≤6mg/dl 减少痛风发作 消除关节内结晶 缩小痛风石

    临时目标: 血尿酸 <5mg/dl 痛风石溶解


HUA的治疗路径

降尿酸药物治疗起点

降尿酸护肾

1、早期降尿酸治疗预防肾病的发生。

    研究表明,给予HUA者降尿酸药物治疗3个月,发现与治疗前相比,经过降尿酸治疗的患者肌酐浓度明显下降,此外患者血压,肾小球滤过率以及CRP浓度也有明显改善。

2、降尿酸延缓肾病发展。

    对肾功能不全的HUA患者,经过一年治疗后发现,联合降尿酸组血肌酐增长率降低50%;降尿酸治疗能缓解肾病发展进程,维持患者肾功能稳定

痛风的饮食注意及食疗方法

      祸从口出,病从口入;痛风是真实、典型的"吃出来的病"。 随着人民物质生活的极大丰富,痛风发病人数也呈逐年上升。现在人们都知道得了痛风要忌口,但是具体要忌什么,宜食什么?许多人都搞不太清楚。往往容易走两个极端:要么什么都不敢吃,要么什么都吃。对此我们作一论述。

        先总结一下,常见的高嘌呤食物:

           第一类  含嘌呤高的食物(每100g食物含嘌呤100-1000mg):

肝、肾、胰、心、脑、肉馅、肉汁、肉汤、鲭鱼、凤尾鱼、沙丁鱼、鱼卵、小虾、淡菜、鹅、斑鸡、石鸡、酵母;

          第二类  含嘌呤中等的食物(每100g食物含嘌呤75-100mg):

1.鱼类:鲤鱼、鳕鱼、*目鱼、鲈鱼、梭鱼、贝壳类、鳗鱼及鳝鱼;

2.肉食:熏火腿、猪**舌、小牛肉、兔肉、鹿肉;

3.禽类:鸭、鸽子、鹌鹑、野鸡、火鸡;

  第三类  含嘌呤较少的食物(每100g食物含嘌呤小于75mg):

1.鱼蟹类:青鱼、鲱鱼、鲑鱼、鲥鱼、金枪鱼、白鱼、龙虾、蟹、牡蛎;

2.肉食:火腿、羊*肉汤、鸡、熏肉

3.麦麸:麦片、面包、粗粮

4.蔬菜:芦笋、四季豆、青豆、豌豆、菜豆、菠菜、蘑菇、干豆类、豆腐

           但是我们普通人记不住食物具体嘌呤含量怎么办?一般食物嘌呤含量大体可以遵循以下规律:动物内脏、贝类>干豆、坚果>叶菜>谷类>水果。

            超过150 毫克/100克的食物,如动物内脏、海鲜、香菇等,不论急性期还是慢性期,均属禁用。50毫克----100 毫克的食物,如猪**肉等,急性期仍不可选用,慢性期适当放宽。

          痛风病患者除积极应用药物治疗以外,均应通过调整饮食结构,辅以食物疗法,使血尿酸水平降低,直至达标。

1
在线问公立医院医生
问诊介绍
快速问诊
评论
微信关注医生
头像
张文武 内科 主治医师
合肥市第三人民医院
好评 4.8
接诊量 2.7万
同行认可 99
可开处方
从业21年
高性价比
专业有效
耐心细致
合肥市
二维码
截图或保存上方二维码图片至手机相册 > 打开微信扫一扫 > 点击右上角“相册” > 选择本图片
回到顶部 回到首页